AIEEE Mathos 2007 solved papers
Q. 1. In a geometric progression consisting of positive terms, each term equals the sum of the next two terms. Then the common ratio of this progression equals
Sol: Let geometric progression is a, ar, ar2,………….;(a, r > 0)
![]()
Correct choice: (4)
Q. 2. If sin
then a value of x is.
- 1
- 3
- 4
- 5
Sol: ![]()
Correct choice: (2)
Q. 3. In the binomial expansion of
![]()
Sol: ![]()
orrect choice: (4)
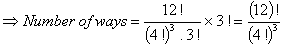
Q. 4. The set S : = {1, 2, 3, ……, 12} is to be partitioned into three sets A, B, C of equal size. Thus,
The number of ways to partition S is
Sol:
12 different objects are to be divided into 3 groups of equal size, which are named as set A, B and C.
Correct choice: (3)
Q. 5. The largest interval lying in
for which the function
![]()
Sol:

Correct choice: (4)
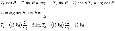
Q. 6. A body weighing 13 kg is suspended by two strings 5 m and 12 m long, their other ends being fastened to the extremities of a rod 13 m long. If the rod be so held that the body hangs immediately below the middle point. The tensions in the strings are
- 12 kg and 13 kg
- 5 kg and 5 kg
- 5kg and 12 kg
- 5 kg and 13 kg

Sol: 
So tension in the strings are 5 kg and 12 kg. Correct choice: (3)
Q. 7. A pair of fair dice is thrown independently three times. The probability of getting a score of exactly 9 twice is
Sol: Probability of getting sum of nine in a single throw ![]()
Probability of getting sum nine exactly two times out of three draws
.
orrect choice: (4)
Q. 8. Consider a family of circles which are passing through the point (- 1, 1) and are tangent to x-axis. If (h, k), are the co-ordinates of the centre of the circles, then the set of values of k is given by the interval
Sol:
Centre of circle is (h, k) and x-axis is tangent.
Radius of the family of circle ![]()
Also circle passes through
![]()
Correct choice: (2)
Q. 9. Let L be the line of intersection of the planes 2x + 3y +z = 1 and x + 3y +2z = 2. If L makes an angle
with the positive x-axis, then
equals


- 1

Sol:

Correct choice: (1)
Q. 10. The differential equation of all circles passing through the origin and having their centres on the x-axis is
Sol: Equation of family of circles passing through origin and having their centres on x-axis is

Correct choice: (3)
5:03 AM
|
Labels:
AiEEE papers
|
This entry was posted on 5:03 AM
and is filed under
AiEEE papers
.
You can follow any responses to this entry through
the RSS 2.0 feed.
You can leave a response,
or trackback from your own site.
0 comments:
Post a Comment